Charakterystyka falowników E810 Eura Drives
Falowniki E810 od Eura Drives
Kompaktowe przemienniki częstotliwości o szerokim zakresie mocy. Urządzenia cechują się intuicyjną obsługą oraz uniwersalnością. Z powodzeniem wykorzystywane są w wielu aplikacjach napędowych. Jest to odświeżona seria znanych falowników E800.
Charakterystyka przemienników E810
Falowniki E810 dostępne są w zakresie mocy od 250 W do 110 kW. Eura Drives oferuje zarówno falowniki z zasilaniem jednofazowy, jak i trójfazowym. 1-fazowe przemienniki dostępne są o mocy 0,25 kW – 2,2 kW, natomiast 3-fazowe falowniki od 0,75 kW do 110kW. Urządzenia te sterowane są zarówno wektorowo, jak i skalarnie. W standardzie wszystkie falowniki zostały wyposażone w 2 wejścia analogowe oraz 1 wyjście przekaźnikowe. Dodatkowo urządzenia o mocy do 22 kW dysponują 5 wejściami cyfrowymi, 1 wyjściem analogowym oraz jednym wyjściem cyfrowym. Falowniki o mocy 30kW i więcej zostały wyposażone w 8 wejść cyfrowych, 2 wyjścia analogowe oraz 2 wyjścia cyfrowe. Zarówno falowniki Eura E800 jak i E810 posiadają funkcję lotnego startu oraz wbudowany regulator PID, filtr i dławik DC. Zostały także wyposażone w port RS 485 oraz panel sterujący. Strat oraz stop falownika można wysterować za pomocą panelu operatorskiego, listwą zaciskową lub łączem komunikacyjnym.
Producent wyposażył urządzenia w szereg funkcji ochronnych:
- zanik fazy napięcia zasilającego,
- przekroczenie napięcia/prądu,
- przeciążenie falownika,
- przeciążenie silnika,
- problem z pomiarem prądu,
- problem z urządzeniem peryferyjnym,
- złe hasło użytkownika - ingerencja z zewnątrz,
- kontrola braku fazy na wyjściu,
- przekroczenie napięcia na szynie DC,
- blokada prądu,
- przegrzanie falownika,
- zbyt niskie napięcie zasilające,
- kontrola wejścia analogowego,
- kontrola sygnału ciśnienia,
- zerwanie połączenia sieciowego Modbus,
- błąd lotnego startu,
- zewnętrzne zakłócenia.
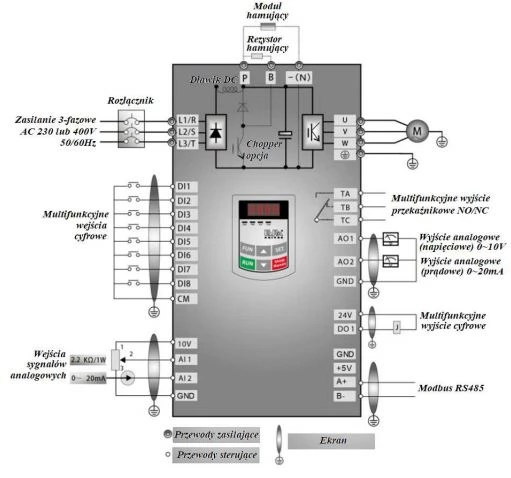
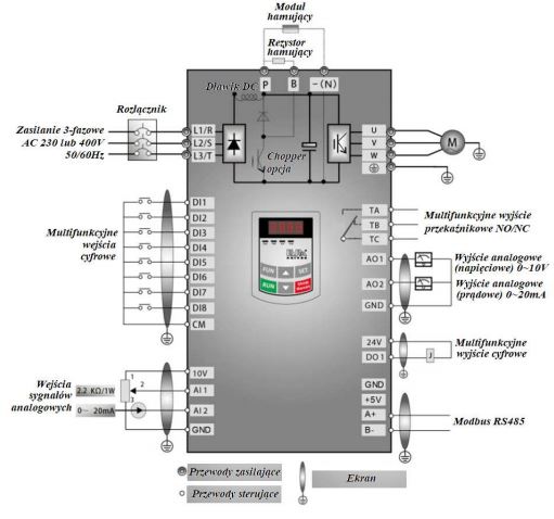
Schemat połączeń falowników E810
Standardowy układ połączeń falownika 3-fazowego

Standardowy układ połączeń falownika 1-fazowego

Podczas instalowania falowników należy pamiętać o dobraniu odpowiedniego zabezpieczenia. Poniżej została przedstawiona tabela z zalecanymi zabezpieczeniami.
Do prawidłowej pracy falownika niekiedy potrzebne są również rezystory hamujące oraz modułu hamowania. W przypadku falowników Eura E810 moduł hamowania jest wbudowany w urządzeniach o mocy do 30 kW. Poniżej został przedstawiony schemat z doborem modułów oraz rezystorów hamowania.


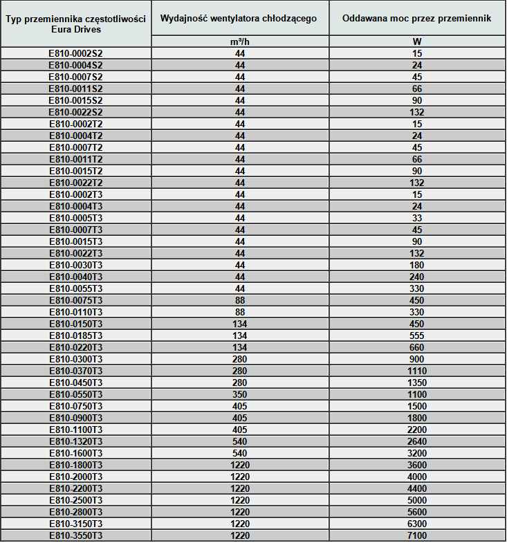
Instalując przemiennik w szafie sterującej niejednokrotnie konieczne jest zamontowanie wentylatora. W celu ułatwienie doboru odpowiedniego wentylatora do chłodzenia szafy poniżej została zamieszczona tabela z doborem.

Zastosowanie falowników E800/810
Falowniki znalazły szerokie zastosowanie w wielu gałęziach przemysłu. Szczególnie docenione zostały w branży HVAC&R. Sprawdzają się w aplikacjach pompowych, zarówno przy pompach głębinowych jak i wyporowych. Innym przykładem zastosowań są transportery, przenośniki czy sprężarki. Przetworniki Eura wykorzystywane są także w różnego typu mieszadłach, dmuchawach czy młynach. W przemyśle drzewnym wykorzystywane są przy rębakach, czy korowarkach. Popularnością cieszą się również w przemyśle maszynowym.